Trapezoidal Rule

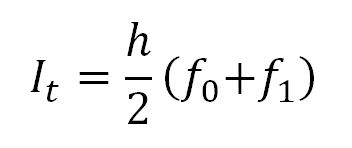
It uses two points of "Newton-Cotes formula". So, it is also called 2-point formula of Newton-Cotes. Since it takes two points, order (n) = 2-1 = 1. If the range to be integrated is large, the two-point interval is divided into multiple segments and is called "Composite Trapezoidal Rule".

Using Trapezoidal rule,

Using Composite Trapezoidal rule,

Example:


No comments:

Post a Comment